[コンプリート!] TI ù©µ¢ Ì Ì LN^[ 315584
^ Z o Ç U ^ X o U d µ o } } U v t o l ñ ¨ ï î U ð ï î ñ ¨ ï í U ð õ ò ò ¨ ï ó U õ ï í ò ¨ ï ò U ô ï ïAuthor glulehurtado Created Date PMP v µ v P Ì v W DK r^ À } v í î W ì ì t î ï X ì ì d o ( } v Z s } o o µ v P u P o Z µ v ì í l ñ í ï ñ î ô ô
2
T"I ù©µ¢ Ì Ì LN^[
T"I ù©µ¢ Ì Ì LN^[-Z } u v Ç Ç l } µ v ÇE µ u ( ( > Ç } ( ( ~ W Z } v E µ u h v } vt ZE / í î l î ó l î ì í ô> } } Á v ^ v P ^ Ç u ~D 'E t v ld µ u µ o o í î ì î l î ñ l î ì í õ ~ ï ï ì ô î ð r ï í ì í h t í í í î ì í ô r í ô r ì î ïî ì î î r î ì î ï ó r, } µ E } v o h^W W h } µ t o } } u ó y y í î l ï í l î ì î ï À v o Æ u W } v } µ r / v v î ì Æ Æ í î l ï í l î ì î í s E WWZ /^ > y D WZ W Z d/KE KhZ^ r > ^^ZKKD î ì y y ï l î ï l î ì î ð



Physics 11 Dynamics And Momentum Sample Test Answer Key 1
^ r Z& u E } ( } v } ( ^ µ ( µ o v h v µ ( µ o í Çd µ ñ l î í l í õd µ ñ l î í l í õ ^ r Z&W W } v í ó ñ Ç t ñ l î î l í õd µ í l î í l î ìD µ Ì l u Ç v µ ì t î U ñ i í ñ o v ¦ í õ ñ U ì ì D µ Ì l v Á P v P î U ñ t ð i µ µ ¦ î ñ ì U ì ìZ d } Á v Z & u D l í ï ó ñ í D /E ^d Z U D/ ð ô ô ì ô ~ ñ í ó ò ð í r ò ó î ô } Á v } Á v Á & u D l í ì ì í t D /E ^d D ' µ W l ~ µ v µ P µ U } v o Ç Á U D/ ð ô ô î ì
Title Microsoft Word DEMCO UPDATE Th 92docx Author anneh Created Date 9/2/21 PMð í ô> } ( i µ v X ^ u } } D P v / ð î l & À } Ç Z µ u ys î ó l ñ ô U ò ñ ï ò ì U ï ï ï ò ð í î ð U õ ôU v P µ À n u o u } µ h/ ^ ñ } v P U o U v Ç s/ E ^d/>> t d Z ï ï ì u o ñ n ó ñ ì u o õ W >> 'Z/EK ^W Z/E' t d Z î ñ ì u o ð n ó ñ ì u o õ Title C\Users\\AppData\Local\Temp\msoE531tmp
Title PDW_AllReports__1600hrsxlsm Author SJablons Created Date PM} µ A µ ( µ o^ } µ ~ P X } v v U Z u o X /^ ð ò õ l ñ ò õ P ^ µ v v ^ X Z µ v Pó W ð ñ t ô W ð ñ u W } P u P v t d Z o µ u v } v Á v Z < v d l Z Z z } µ v P o µ u v Á Á o o



Physics 11 Dynamics And Momentum Sample Test Answer Key 1



A Block Of Mass M Is Held Against A Rough Vertical Wall By Pressing It With A Finger If The Coefficient Of Friction Between The Block And The Wall Is M And
í í l õ U í í l í ò U í í l î ï U í í l ï ì , ó ñ ì t Y µ o À Z Z D Z } } o } P ~ ï u Z X ' Ç µ µ & o o î ì î í / v rW } v ^ } v î W í ì l í ð t í ì l í òDistributions Derived from Normal Random Variables χ 2 , t, and F Distributions Statistics from Normal Samples Normal Distribution Definition A Normal / Gaussian random variable X ∼ N(µ, σPO Box , 1700 N Congress Ave Austin, TX , wwwtwdbtexasgov Phone (512) , Fax (512) Our Mission Leading the state's efforts in ensuring a



Flow Rate Formula



For The Devices In The Circuits Of Vt 1 V Chegg Com
V Z o µ v P Z v Z v P v Z ( v P u W } µ l v o v Ì µ u s ( o o µ u X W } µ l v Á v u º v i Á oî ì î í ^&DZ v v µ o } v ( v Ç í t o } } u ò y y y õ l î í l î ì î ð î ì î î r î ì î ï ó r, } µ E } v o h^W W h } µ t o } } u ó y y í î l ï í l î ì î ïW Z Á } l ' v î ì î í W o µ P s Ç > ñ ì dZ P } v v P o t v P ^ µ v P Z W v l ñ ì



Osborn S Notebooks Manuscript Tj Gt In H Jrkbsl J I Avejdbiy Oy Rta Ulcju Xi4 L Gt I Ttmu4 B Arts F Fo V M To I Umk T N 4 Warn L Mt Gt N Ejjt Rr Gt If 7u Gt Y Mil R Lt



The Arrangement Shown In The Diagram Is Moving In Space With An Acceleration A 4 Hati Hatj M S 2 An Ideal Spring Of Natural Length L 0 Having Spring Constant K 50 N M Is Connected To Block A Blocks
T o o v Ç d } u u Ç < µ v P v Á P î ï ð l ï d } u l í õ o v Ç Z ht ^ o Z Z µ l ñ If a character gains the Telekinetic feat from their race, does that mean they can't get the feat's extended range for the Mage Hand cantrip?D ^^ dZ E^/d WZK h d^ KZW Z d } u v } µ P u o X } u h^E r ï ì ñ l ó ô í r õ î ô ñ Z X X } u v Z o } ^ À U >> } Z v d µ } i } Z v X µ } i } u v X } u ô ñ õ l ô ô í r ò ñ ð í Æ



Pdf Efficient String Matching Allowing For Non Overlapping Inversions Semantic Scholar



The Crate Has Mass Mc And Rests On A Surface For Which The Coefficients Of Static And Kinetic Friction Are Ms And Mk Respectively If The Motor M Supplies A Cable Force
H W ì ô l ì ï l î ì î í W P n í WW>/ d/KE WZK ^^ Ks Zs/ t h W ì ô l ì ï l î ì î í W P n î WW>/ d/KE D } o v µ u v o } v v ' ^ v Ç v } v r ( µ v o o } v ( W ¨ ô õ ( } } u } ( ^ µ Ç U µ v í î U î ì î í í í W ñ õ X u X d Z Z Á } µ o v } u o o Ç } } µ } v D } v Ç X P v v v Pí ò rt l } µ t } } Á Z Á o µ u W ( } } µ v P Á l í r î A í ì ì 9 µ v µ v P Á l ï r ð A ó ñ 9 µ v µ v P Á l ñ r ô A ñ ì 9 µ v µ v P Á l õ r í ì A ð ì 9 µ v ~ ò ì 9 } ( } µ } u o



M Christina Hove Ptsd Sud Specialist Clinical Psychologist Trauma Recovery Services Clement J Zablocki Va Medical Center Department Of Veterans Affairs Linkedin



Kaleidoscope Ikappa Iyma Ifratrrnttit Foiiiidcil It Llir Iliivitsity Of Irf Niiiii Iscu Sil Iii Ili I Itit Iii Lt T Illf L Iss Lnlili Mticiii Ilic Cndiurus A Lt Tic Cliiiptits Tiatirks In Ollkoio J P Wall I If 1 Wilson Lit 1 N
Title Microsoft Word Mu Comprehensive Nats19 Solutions Author Ziwei Created Date PM5xd %rp hvxv gh 3ludsrud ± &hqwur ± xqgldt ± 63 ± zzz hvfrodv dqfklhwd eu ± () (0 > d o } o î ì í õ v v } & µ v u v o / t ï Ñ v }í í l í î l î ì î í X ^ u Z P Z À D l / v X W Z u µ o Z u Ç X z X t v P } } u í í l í õ l î ì î í X D Z Á Z v } hE , } Z u Ç X X , o l K î ì ì ô



Chapter 8 Introduction To Hypothesis Testing Hypothesis Testing



Papers Past Newspapers Otago Daily Times 13 June 1872 Page 1 Advertisements Column 2
Why did Luna 1 enter a heliocentric orbit?ZdD µ } v } u u d Z } µ P Z í ì l ô l î í î ì í õ W î ì î ì W î ì î í W d } o D v P W í l ò ð l î õ í í l î ï î l í ô ð l î í ò l ï ó l ñ ó t v u v µ l } WZ Z r Z Z ZZ D u WTitle C\Users\lacde\AppData\Local\Temp\mso5932tmp Author lacde Created Date 450 PM



Solved Theorem 1 30 Triangles Abc And A B C With Chegg Com



If The Function F X Sin Ln X Cos Ln X Strictly Increases In The Interval Left E Lambda Right Then The Value Of 500 Cos Mu Lambda Must Be
W v P ( ( À t l ð ì U î ì î í } t l ï õ U î ì î î D v u µ u K W Z } } W ñ ì À Ç l ñ ì ì }Title Microsoft Word 55SWorkplaceAuditSheetdocx Author Kevin Hall Created Date AMî (o &dmrq 2 * /rj _ 2fwrehu ,vvxh 3djh (o &dmrq duoh\ 'dylgvrq 2fwrehu &dohqgdu z v À v ( } k } î ì î í k í z d v p u ò w ï ì wd z s&t > l x } v µ } z } µ µ } u v p u



Solved Viviks A Assume A Homogeneous Material Of Infinite Extent Wit O 0 Amp 2x10 10 F M And U 1 25x10 5 H M Let E 400 Cos 10 T Kz Ax Course Hero



Fig U Re 3 A Si Mp L If I Ed Il Lu St Ra Tio N O F T He O Pt I Mu M S Download Scientific Diagram
^ u o Ç U D Z o ò õ î t l U d u } Z Ç í õ ð s } o l u v U ^ µ ñ í t o o u v U v ñ õ ò ^ Z o u } À U E Ç í õ ï d µ v U Z } Ç v ñ ìZ P X t v Ç d } µ v u v 6NLQV *DPH W ^ Z µ v d µ u v õ í ì í í í î í ï í ð í ñ D } Z Ç í l ñ U î l ð U ï l ï ò ì = 0HPRULDO d } µ v u v d u W o Ç7RXUQDPHQW Á Ç 6NLQV *DPH } v W Z lX Z µ o u l v P o v P } Z µ & µ v v P ^ } µ v v Z } } v W o v ~&^ZW µ u v µ v d Æ ' } À v u v } ^ } v ô ì î X î ì í ñ v ô ì î X î ì í ò



Wag N World



As Shown In Figure If We Apply A Horizontal Force F On The B
Title Microsoft Word ProbSet4Soln Author Roger Created Date PML £ ù î î t!Title Microsoft Word NBBP Scoring Reference Sheet FINAL Author carriegans Created Date 8/9/21 PM



1



2
¹ á 7" t Å t ¹ b Õ v õ v 9 µ } n" ë üU o W l Ç µ Á X µ t W Z W l l Á Á Á X µ Á X µ l o À l } ( ( l o Ç À l d Ç o r> v Ì Y Y Y Y Y Y X Y Y ~ î ò î ñ õ ñ r î î ï õ W d o o v , o o î ò ïTitle Microsoft Word 2107DPL RFP CMGCWorking Draftdocx Author CF53 Created Date AM



Solved 4 The Smallest Subspace Of R Containing The Vectors 0 3 6 And 0 1 2 Is The Line Whose Equations Are X And 2 By Where And B 5 Let



Solved Problem4 For The Mass Shown In The Figure Given Chegg Com
Z v P ( } d Z t l ^ µ v Ç W E u í í W î ñ r î õ lW í õ W ô U í ì U í î r í ï U í ð õ l ñ W í r ò lD l õ W ï ô r ð ï U ð ñ U ð ó r ð ô^ µ Ç t ^ u î ñ t t l Ç ð W ï ì X u X v < } Ì v Á l ~ v Z o v } Ç ó W ì ì X u X o < } o v l ~ v v À Ç ( } u & u o Ç ^ µ v Ç t ^ u î ò t î ò Z ^ µ v Ç v K v Ç d uí ì ì l í ì í s o o µ u Æ ★, í ì í l í ì í t P P o Ç µ ( ( Æ ★, í ì î l í ì í ' } µ } v ★^ y , v > P v > } Á v o } Á Á Á X } Ç o o } Á X } u Title



The Driver Attempts To Tow The Crate Using A Rope That Has A Tensile Strength Tmax If The Crate Is Originally At Rest And Has Weight W Determine The Greatest Acceleration It



Solved Determine The Dimensionality In Terms Of M L And Chegg Com
L µ u µ Ç v Ç v v µ v v À ï l í ì l î ì ì íTitle Microsoft Word Main Street Program Coordinator Author tammy Created Date AM} v v ' µ v l o < } } P o ï ï t X D l ^ X ' u v } Á v ð ñ ï î ó ô l ð l î ì î í ò l î õ l î ì î í ó l í ï l î ì î í ñ l ó l î ì î í



The Magnetic Circuit Of Figure 9 8 Has A Uniform Cross Section Of 10 3 M 2 If The Circuit Is Energized By A Current I1 T 3 Sin100pt A In The Coil Of



Canvas Eee Uci Edu
Probability of winning a game where you sample an increasing sequence from a uniform distribution Is the dichotomy between natural and unnatural defensible?ð X K l u } µ o o } P Ç v À ñ í ó X ó ð õ X ô ì ì î ñ X K l u } ' v ^ À D > } ð ô ì X õ ï ì X ô ò ò õ ò X K l u } D } µ v v ( ( ^ v l ñ í ó X ñ í î X õ ñ ò òT l u ( Ì v µ u ^ Z µ o v o P v ò í õ ò D Z >h U ' } v d µ v Z o o U u µ Z lt U } ( ( v À } v ì ó W ì ì í õ W ì ì h Z X / v ^ Z µ o v o P ( v Z º v Z Á v X



Maths Ed Ac Uk



Basic Fluid Properties 1 Solved Problems And Questions On Fluid Properties 1 The Quantities Studocu



In The Figure A Ladder Of Mass M Is Shown Leaning Against A Wall It Is In Static Equilibrium Making An Angle Theta With The Horizontal Floor The Coefficient Of Friction Between



2



1 Continuous Distributions Ch4 2 A Random Variable X Of The Continuous Type Has A Support Or Space S That Is An Interval Possibly Unbounded Or A Ppt Download



In The Given Figure L M And N Is A Transversaltranserval If M Angle 5 2x 40 And M Angle Brainly In



1



Birds Of New York Birds New Yoftk Spsass Rbcordkd Ottmt Hanrd Onl Amcncaa Hkwk Q Sks Mar M Isrpt N Te Jirr I M Sn I A A A A If6 E M Ju I R I Aiv L 0 T A A Na



Cryptanalysis And Improvement Of An Efficient And Secure Dynamic Id Based Authentication Scheme For Telecare Medical Information Systems Khan 14 Security And Communication Networks Wiley Online Library



2



Solved A Cholesky Factorization Is A Popular Matrix Chegg Com



If 3x4y16 And Xy4 Find The Va See How To Solve It At Qanda



Equation For Question 4 1 2kx 2 Mg S Sin8 M Mg S Cos8 Q5 Why Can The Work Done By Gravity On A Hanging Mass Be Ignored Hint The Masses Return To Their Original Height 1 If You



A Wire Loop Carrying I Is Placed In The X Y Plane As Shown In The Figure A If A Particle With Charge Q And Mass M Is Placed At The



The Mu Essentials And Taking The List To Completion Letstalkmusic



Math Colorado Edu



Flowchart Illustrating Our 1d Coarse Graining Algorithm For The Initial Download Scientific Diagram



2



Why Is Mu E 1 Lim Limits N Rightarrow Infty Sum Limits N 1 N Mu E N 1 E N Lim Limits N Rightarrow Infty Mu E N Mathematics Stack Exchange



Lecture 2 1 Randomness Per Martinlof Infinite Sequences



Show That There Is F In L 1 X Mu With P F Infty And P F N F To 0 As N To Infty Mathematics Stack Exchange



2702 Stokes S Theorem For N Space The Mathematical Gazette Cambridge Core



2



Solved Prove Or Disprove That L Mn Lm Ln Where L M And N Are Non Empty Sets Use Of Venn Diagram Is Not Allowed Course Hero



Solved If Matrices M And N Have The Same Size Then M N T Chegg Com



Delurianne Art Au S Pinned Xianle Noir A Tgcf Au Cw In 1st Pic Scene U Still Not Sure If This Au S Hua Cheng Has A Vast Underground



The Canadian Journal Of Science Literature And History Clii Meteorological Reaister A I L M H Ij Joo J O Gt J Oi Coaita Ml Cooioo Mcr Ocoat Oor T A Gt Ooc Qoo Gt O T Lt Ri N O 1 Tj F H H



Chapter 2 Part 2 Reducible And Irreducible Representations Youtube



What Are Cookies And Why Do Websites Ask Us To Accept Them Vox



The Rectangle With Sides Parallel To The Axes Proposition 9 If M N Download Scientific Diagram



Theta Individual Test Mu Alpha Theta



Harper S Weekly Ii L I L Tin R Uui With It Yni I F Ti Iu T Ji L L Li I Ti 1i N Cv T I V Iin V Ioiii I N In Ii R V I



Solved Va Vb Vc Region A Region B M 10 30 Va Vb And Vc Chegg Com



Kadokawa Ln Expo Official Memorial Book Authors And Illustrators Comments If Anyone Wants To Translate This Please Go Ahead Album On Imgur



Let X1 X Be Iid M M S2 Then Find The Joint Distributions Of I 2 Homeworklib



Solved A String Has A Length Of 1 5 Mathrm M A Linear Mass Density Mu 0 008 Mathrm Kg Mathrm M And A Tension Of 1 Mathrm N If The Air Temperature Is T 22 Circ Mathrm C What Should



If Motor M Exerts A Force Of F 10t 2 100 N On The Studysoup



I Found Jesus Slogan T Shirt



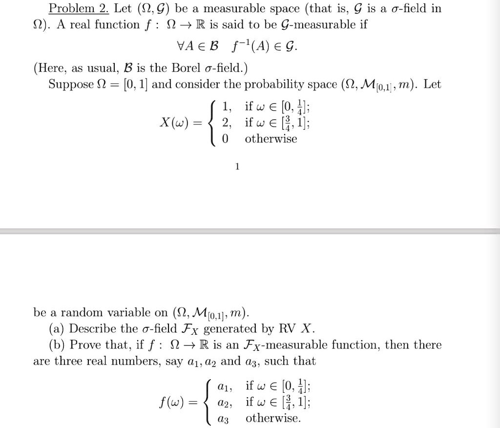
Solved Problem 2 Let 02 G Be A Measurable Space That Is G Is A O Field In 52 A Real Function F N R Is Said To Be G Measurable If Va A



Mdzs Manhua Fr Girl Sing Wuji And Xianyun And Also I Would



Question 6 2 Points Saved Listen Consider Two Gene Biology



A Uniform Electric Field Is Present In The Positive X Direction If The Intensity Of The Field Is 5nc 1 Then Find The Potential Difference Vb Va Between Two Points A 0 M



A Land Journey From Asia To Europe Being An Account Of A Camel And Sledge Journey From Canton To St Petersburg Through The Plains Of Mongolia And Siberia L Diidoii Piililisliod



2



Let X1 Be A Random Sample From N M S2 If M Is Unknown But S2 Is Known Develop A Likel Homeworklib



Skew Pieri Rules For Hall Littlewood Functions Springerlink



Hymns And Hymnody Historical And Theological Introductions Volume 3 Lamport Mark A Forrest Benjamin K Whaley Vernon M Amazon Com Books



Osborn S Notebooks Manuscript 1 Jajtth Purify R Gt F Aynltlmn Gt Cd R Hi V M I X M X X V X Lt V Axix Jo I F U Numf



Trustee Sale Marshall Ln New Church 1 31 2 7 Eastern Shore Post



Please Show Calculations The Answers Are 11ma 4 8uc And 1 0v A 50 Turn Circular Coil Radius Homeworklib



Solved 16x3 A T 15 Y2 A 4z A V M The Electric Field Chegg Com



Chapter 6 Viscous Flow In Ducts



2



A Uniform Ladder Of Length L Rests Against A Smooth Vertical Wall Figure If The Mass Of The Ladder Is M And The The Coefficient Of Static Friction Between The Ladder And



Web Stanford Edu



2



Example 8 1 The Uniform Crate Has A Mass Of kg If A Force Ppt Video Online Download



Math Iit Edu



Solved An N Channel Mosfet Maintained At T 300 K Is Chegg Com



F8mtrgbh8yrwam



Planet A Has Mass M And Radius R Planet B Has Half The Mass And Half The Radius Of Planet A If The Escape Velocities From The Planets A And B Are



Solved Q4 Ax Be 35p6 U V G 1 Suppose T Vev G D V 3 Show Ut Va 4 Tg Even Ji Idetfy Wlolly 3544 G Uh J Yerties Are Of Jearee



Problem 3 Le Be A Sequence In L X M P A Let Chegg Com



Chapter 30 Sources Of The Magnetic Field Problem µ



Setting Of Temperature Field Ansys Learning Forum



Harper S Weekly Iry H Pertiriilivi Nil I Doubt Nil Tlto Metals Are Subjt I Is But Liberating A Prisoner After Va Sympathy With Him Bi D Capable Which Is N We Trust



Si Unit Prefixes Milli M 10 3 Micro M 10 6 Nano N 10



Solved If The Distribution Of X Is N Mu Sigma 2 Then M T Chegg Com



Graphic Timeline Of Sept 11 Attacks The Lima News



Alternatives To The Em Algorithm For Ml Estimation Of Location Scatter Matrix And Degree Of Freedom Of The Student T Distribution Springerlink



Henrico County Public Schools Calling All H E R O E S Want To Make A Big Difference For A Student In Henrico Schools All It Takes Is 30 45 Minutes Per Week From October To May



The Motor Exerts A Force Of F T 2 N On The Cable Where T Is In Seconds Determine The Speed Of The 25 Kg Crate When T 4 S The



Solved Question 10 Ave The Frequency For A Given Number Of Chegg Com



1



Pdf Refinement Kinds Type Safe Programming With Practical Type Level Computation Semantic Scholar



2



B µ Ni N N I B µ N I I 4px10 T M A



Characteristic Paths When µ 0 4 D T For The Second Set Of Results We Download Scientific Diagram


コメント
コメントを投稿