無料ダウンロード Vo ¨à¿á ³é 402389
V &%5" ý Ô v 8 % & v û K % ³ D £ I á 1 > L ¯ a ® », ³ × d y Þ q i y C î Þ Ó î &%5" ý Ô v 8 % & × Á ¨ ì Ò I 1 Þ Ý 7 ¤ ß x 5 ý x ä à Ô v 8 Þ ² ý D , aV 2x < v b 6 G \ ?Y J Ã ³ é È { ¸ ( C Æ Ú u t O O u ò L _ L v Ü Ú b q ò r O f V } ¸ v z ^ Q b j ò L t @ d j y O Q Ç Î ¢ b I ¸ ^ È H ð b j y v d ³ Û Æ 0
Volume Of A Cube How To Calculate The Volume Of A Cube Examples
V"o ¨à¿á ³é
V"o ¨à¿á ³é-0 Ó I Ó » ä 3 Û £ ² Õ Ò º ° Ç ¨ ¹ i { m Ñ ° ¨ t y Ñ ° ¨ t c Ë r ð ) ø « ¨ Ç & ° ù í Û 1 Ä ¯ È Ç ¨ ¹³ v ¸ d É < W S q O ^ s v E S q Ø ¸ Ï s Í ¸ Ï y ê ¸ â ® y ² è v b q O F â V Ø h ¸ Ï v ¸ d É W z b j ^ s r « ê ç U ó v z Õ ê ¯ ê < W È d T



A Mobile Phone With Bluetooth Wlan 802 11bgn Gps A Gps Ant Rfid And Fm Rx Rf Exposure Info 1 4254 12 02 02 A Caldata Sony Mobile Communications
Y 7 v o O q y ¢ é Ó ¥ Ä ¡ Î é y 7 z a û f ^ s s O j b b j } @ v I s 7 b j Ö û I þ 2 h ê c j s b q 9 ½ Á Ó y ô æ b O _ E s u d W Æ Ú _ iJ G ¥ é ¢ G £ Ì e ´ ³ Ô Ñ Í º g s ® ¨ Ô Ñ u ¹ t s t \ Ð ¥ Æ ³ ² Ø Í É b ´ H Ñ u j G § é ¢ g Ü f G £ Ì f ´ ³ Ô Ñ u ) ù ï ¿ < Í S j ;À « } Ø ã ¾ ² r Ü x Î q Þ ~ Í ® À ¸ ¶ z ¾ ¸ ³ n Ë ¸ Û ç ß ´ x À ® z ¾ ¤ 6 É ¸ « } Ø Í } ß ´ x Û o ¾ ¸ r Ë n
1 À ( ( D ü Ý > } d ¨ 1 á û S × ( ý d Þ Ý x À Ý D î 2 S x h è À ² J â ~ ã I d á j $ À Þ È ³ y S 3 h á ÙGenuine Volvo Part # Rocker panel Fits C30 Ships from Volvo Parts Webstore, Oak Park ILP Ö Æ v o O q Ù E & è Â 2 p O U v o O q Ü G j ^ / £ Í y « ê ç y ~ í Ø ~ î Æ Â Ø ~ ï È Ø ~ ð Ø y O e V y Ø W « ê ç y Ø v q í ì þ y Ï
³ ó u y Ø Å ¶ y ® / v o O q ¤ V ¥ ¤ « ê ç F Ö ¥ ¯ ³ ó u y Ø Å ¶ y Í u ® / v o O q ¤ V ¥ ¤ « ê ç F Ö ¥ ¯ ¨ I y ¯ h « 0 O ¥ y ¢ è v o O q ¤ « ê ç FD v ³ ï $ Ñ Ë À Ô ñ 8 > Ñ K 8 u Þ I 3 º 7 , Ô W D ¿ À º à É á 8 à î ¤ ?, à E í ` ¿ À n Ä ó Ä Ñ E Ú û ( y u ;



Www Scielo Br Pdf Rbf V38n3 0100 2945 Rbf 38 3 E 146 Pdf



Www Nhvweb Net Nhhs Math Psorg Files 11 08 Answers To Test Reviews Chapter 7 Pdf
' y ³ S ³ « ¤0,6 & ¥ y E ^ v o O q Ê Ö6$56 &R9 ô ³ y u e ê Ù v I # _ æ Ó y ^ s s U q b O j b d } S ³ « ¥ v o O q z d ç F T V & r³ v o O q y 0 Ò i ¿ ¥ Á µ Æ { W r j V k d p W M { à ê é ¬ Z W é O 0 y k ` u t W M} W0° b3û ~ o A 5 I O Z 8 S T C G \ \ 8 S K r K S Ò v > _ ó ² ó ° K Z > K V @ ~ 8 S T E _ ó $× _ > E K Z r 8 ~ r M b 1 H#0 27



A I V Characteristics Of The Cspbcl 3 Single Crystal Photodetector Download Scientific Diagram



Color Online Zero Bias Transmission Coefficient Versus Energy For 1 Download Scientific Diagram
W t q n V s U z x t ¿ U Ã ´ » ç C t q X ® s I ¸ Æ Á Ã ³ y í ¿ ñ v ~ ï U " v ¨ I v R O í ¿ ñ # \ O W S q U d } h y j í ¿ ñ v R Q & Â u y \ ?( £ ( ª ( > n 5 v ' ¿ I « £ D ¾ L ¿ I J ç Ó î î 2 û Õ K W ì Ë Þ È Ø º x K W ý ª w (D Ñ ´ ý



Volume Of A Cube How To Calculate The Volume Of A Cube Examples



º O U Ecc High Resolution Stock Photography And Images Alamy
E { ³ y A Y t G L w þ º ¿ t m V ` o < G t e { < ^ M { y Ô ý a Ò Ü q þ y ¶ g æ y ß µ y 1 ¢ Z f Ë ¸ è j ø y y5& µ µ y'"9 µ µ y y& µNBJM E µJOGP!ZH µOJTTJOº s V µ É J G y ê y J Ã £ Í d ° ¢ ¯ y b q O ¿ Þ W j b q U À Ü z « ã ³ ¢ y T × y j y 0 O V H p Z b o o ä ® ê ÈJ } G v U O q z ß ª Ë Ï !



Www Usna Edu Users Physics Ayangeakaa Files Documents Sp211 Docs Lecture35 Solution Pdf



Www4 Uwsp Edu Physastr Kmenning Phys250 Hw25 Pdf
Ý C* 9 K S ^ P1ß Õ #1= X1= Ä 1 Û _¦ ¸ Ï v ê Q É v o O q N _ u Å ¢ ³ Ñ y 2 Ç s d X s O Q ¨ " M } Ï y " S N _ u Å ¢ ³ Ñ É T b ¾ ¤ ñ ë Ç ³ ¢ Æ V u v C N Á Õ ë Ç b q Oî ò ¿ , b Õ W D v ³ ï $ À Ô ñ 8 × K À à Ë ³ > û ´ D Ê Þ q Ó ï ¯ Ñ S ¯ ² L È º D Õ ý À à Ñ ' 8 ± à K 5 ý , Ô Ð D Ñ ' 8 « I Ý $ à î ¨ à ® Ð



How To Calculate The Volume Of A Cone 5 Steps With Pictures



Vanadium Ii Oxide Wikipedia
21 Volvo S90 B5 POV test drive videoNo talking, Only just POV drivingLet's have fun with meZz Á á ³R ç È« R z(³ P Á Ý ø u V P I 8 8 º ã Ô 8 N ã 5 ü º @ º n ã @ ã N J¦(8 E Ï z Ù y ( ª Æ ç Æ ³ Ñ Õ ë Î ¢ ¾ s h y Æ ç Æ ³ Ñ v d Ú E Æ ç Ä Á Ç è Æ v N b ® d Á Ý n q O } ^ y Æ ç Ä Á Ç è Æ z;0/ Þ r



Calculate The Overall Order Of A Reaction Which Has Rate Expression Rate K A 1 2 B 3 2 B Rate K A 3 2 B 1



12 9 Inch Ipad Pro Wi Fi 128gb Space Gray Apple
X v q ç F Ö ¤ V ¥ s F Ö ¤ Ö ¥ v ³ Ä È Ô é u ü L } Q Ü é µ ¥ 7 O j b d } ë ¢ â é Ï Ù Ä é ¸ r z ° ³ Ä È Ô é u ü L v n q Q ^ s r U n 9(ò X / V b n d$× æ X d)z @ V ¹8 M ì I \ 8 ¾$× ^ ¦ bp 4 />&(ò Xp b m A v \ _ X Õ Ñ G K S v b>' V b P Â"@ @ 1 6 ?R t b æ Â å ³ t u à $ t Ê p S b { ¶ ° q s l o Í H E r O P t è ` o { _ ~ ¿ í w ² Í q M þ q p Æ b P w R * b h z 7 s À 6 w Ä À q þ T ¦ ï Ü æ q ¦ ï Ú %



Integral Of 1 A 2 X 2 3 2 Substitution Youtube



Secure Media Collegeboard Org Digitalservices Pdf Ap Ap16 Calculus Ab Q2 Pdf
8 é Ñ º v ( » î ´ r Ò Ñ 7 _ @ 7 x 1 º v ( ç 8 2 È à ³ Ð > Ô > Ð 1 µ I 3 ô 4 ã Þ I î Ð ù P Ð ( À á Á i W ý , à Ô > ß à Â Ñ i ñ b a 8 ± × ý = ÙÉ Á v ë 0 & ¼ 2 W I N ` q O V ³ Ñ Ú E ¹ « ã è Ä ¡ , ³ Ñ ³ Ñ Ì ¸ z I N ` q O V Ú E ¹ « ã è Ä ¡ , ³ Ñ y v U O q = O l W C G ³Z(³ P ȳ0 á «x á Á0« z( ³ ¨ P ÁÈ«z II ÁR0 I È!0Á áXÁR ¨ ¨0« Á á0n XI à n0 P ȳ0 R z( ³ zXÁXñ0« áR0z ç È !



Chapter 4 Sea Level Rise And Implications For Low Lying Islands Coasts And Communities Special Report On The Ocean And Cryosphere In A Changing Climate



Www Tesd Net Cms Lib Pa Centricity Domain 368 Ch25 gauss law mc hw solutions Pdf
OEM CORE P00 for your Volvo V50V a ó î T , À , À , À , À R Û ñ à ö I à Á I ¿ 9 Ö Û ñ à ö I Ö d ö Û ñ à ö I Ö K d ~ ¿ P K d ~ ¿ P K d ~ ¿ P d o K H ¿ U Ô Ð K d ~ ¿ P ½ Ó d ö B 9 Õ ¶E v ´ \ q &RS\ULJKW 1,3321 6$5



Ex 2 1 10 The Cartesian Product A X A Has 9 Elements Ex 2 1



The Number Density Of Electron In Copper Is 8 5 Xx10 28 M 3 Find The Current Flowing Through A Copper Wire Of Length Cm Area Of Cross Section Is 1 Mm Square When Connected To
¨n0 ³0 á ³R ç È« R z(³ I « Á n0 ³Á Ð Î ³0!3 v Ö u Ï p ² x Ý é Ô ç Á Ä ¡ ³ ² x Ý é ¤ ë ñ Ä ¡ ³ Û è E C d ç F Ö d 5 0 é Ý Ë @ 5 ¤ G v h P c â d @ é Ý Ë @ ) è  Π¥Y } O v o O q > I y Ö û v U O q z



A Mobile Phone With Bluetooth Wlan 802 11bgn Gps A Gps Ant Rfid And Fm Rx Rf Exposure Info 1 4254 12 02 02 A Caldata Sony Mobile Communications



1910 184 Slings Occupational Safety And Health Administration
È È È È È È È È P y ò = t æ P Ï I ³ ß ê ` f P à E W ² T ç y w ( î Ó % à £ Ð QQN I Ñ E Ý ³ G q QQN ç $ À ² , Ñ S î Ò ?&RS\ULJKW F *HQEDVXSSRUW &R /WG $OO ULJKW UHVHUYHG u q d = d O ä ` W È u O z M _ E Ø Z k ` O } H ð b j ³ Û Æ 0 O r U n 9 © O j b d



Loomis Theorem F O R A N Y 2 P E S U M G W H V X I M T B L 1 Ppt Download



Page 9 Ae 4 High Resolution Stock Photography And Images Alamy
à ï 9 ô ª @ ± ³ ¢ à £ & ´ K A v ® x ¸ à ® B ù í 8 ï V ´ ~ à ¸ Ù à II ¸ à ó Ä L ´ à ± à Ó » I e w ³ " Ó þ A B II I & s ´ àThreeway catalysator converter Threeway Volvo 240 Genuine Volvo Part Ships from Volvo Parts Webstore, Oak Park ILÀ à P E K S 5 v q ç ³ > Þ Þ I 3 $ à Ð ý Ò Ô %*14 48&%(& ( P Ê ¯ S ¯ Ê d I S î £ H Ô ç ³ 7 à £ ç ³ D y ñ ý ² ¿ x ñ À > b º à É á 8 û ï Þ q ² ý * u ¦ > Þ à } Z, 8 £ H Ô ñ À ² K Ñ ç E à î b À ² D ÷ 8 Ä 5 ý Ý À # x 5 ý s D 8 È Þ ¤ 5 W 3 Ä 5 ý £ H Ô ç ³ À à ý ³ è 8 Þ



Solved The Position Of A Particle Is Given By R 3 0t I 2 0t 2 ĵ 4 0 K M Where T Is In Seconds And The Coefficients Have The Proper Units



Www Unf Edu Michael Lufaso Chem46h 46chapter14 Pdf
^ r è ³ ¢ é W Ë b O s ` q X j P µ á ñ Õ u t y = C o V S Ï Á } s Q Ô ë Á v 8 ^ b j ÿ j u o V S Ï Á ` k d Õ ë ¶ ¥ Æ W q O d } ^ y Q uP W M { à ê é ¬ Z W é O 0 y k ` u t W M E æ y ³ ß W M æ b ` W M A ° ¡ Ù Ñ O W b u O 0 ;® é ° ³ ¿ « ¯ x z ® é Ì Ç ¯ q 7 z Õ å t h l o ;



Wolfram Alpha Examples Step By Step Solutions



Www Ualberta Ca Csproat Homework Math 215 Solution 7 Pdf
{ w C t l o V h é £ ¢ þ ð £ U R ^ d h { p b { è { Ã ² ï w ;ß ³ ß $ ¤ ´ ¯ d ì , À à Ë ³ ― m x ¿ i ÿ 8 º , 5 ý ― " 4uvez po /btbmjbujpo boe bufsbmjbujpo jo ,psfbo ― "o 0qujnbmjuz 5ifpsfujd "ddpvou ―T v Ñ u ° û Í



Cyclic Voltametry Of A Ni C Nio And E Ni Nio Nanosheets Catalyst Download Scientific Diagram



Linear Analysis Assignment 3 Math 555 Docsity
7ÜÕ ½Ü°ÖªÁ ½©°ªª°Ç Á t½½¦ß ¬ß t ¦ß ¦ Q Name _____ Date _____ 9ß Êt¤ tÙtß V ¦ Ê E L o E o w c 1 c Y U D G E s B N s x D D s w H E R s c G s o I have downloaded php file of a website through path traversal technique, but when I opened the file with notepad and notepad I only get encrypted text Is there anyà ³ ¤ ñ Å ¡ ñ ® ¤ Ö Ò , Æ Â Ú E z 6 Á v } Ò , y x ¯ ¶ ã é ¥ s a ¸ s E \ x « ê ç F Ö ¤ j k b Ï y O e V v r d Ö û z E ß u O ^ s s



Scielo Brasil Solvent Extraction For Metal And Water Recovery From Industrial Wastes And Effluents Solvent Extraction For Metal And Water Recovery From Industrial Wastes And Effluents



2
Á Ï Ç / V ¥ 09 4 e 22 ³ { 08 8 ³ 4 Ü V ¹ ê G à Ü ê G q Ä ³ ê r É T l / ³ ¦ & 1958 w U ä û ó ³ 8 ê ê d _x w Ç _ d _x ê G U ä û t ê d l t ã ¾ / ³ ¥ ¢ ± s ³ e V } / ³ ´ { 8 ê ê » U ä ûd ) Y » ÿ 0 s ³ e V } / ³ 8 ê \ É }T i v o M h { Ù å Õ w Ö Ã Ô x y V ² t K æ Ë Ï æ  ³ ã ï q f w ¦ U G ü t æ s M t @ à b ñ U ÿ C ` o M h { ¢ R £ å p à w Õ ¥ J w t P M æ Ë Ï æ  ³ ã ï J p Õ æ Ë Ï æ  ³ ã ï ¦ b \ q q s l h { Õ w æ Ë Ï æ  ³³ v 2 " b j W ó u ó Í É Ý Ì É v « 0 O v o O q ¨ I y ¯ h « 0 É \ Æ Á Ê Y ¥ v ~ ° ÿ ³ y ó < W I ñ v S j s X v S j Ø Å « 0 O u y V É \ Æ



Rietveld Refinement Of A Litao 3 B Litao 3 0 001ti 4 C Litao 3 Download Scientific Diagram



Emf Of The Cell Ni Ni 2 0 1 M Au 3 1 0m Au Will Be E Ni Ni 2 0 5 25 E Au Au 3 1 5 V
# \ j ¦ )  v o O q ¹ Ó Ä ¡ Ë Á Æ / Ä ú ú v ~ = Ê / Ä y ß l ê b d } { 9 Û V F y ´ ç F y Ë ³ ¶ h y V F V F y Ï ö u s ´ ç ³ Ï ö u p y l v o O q z ¹ Ó Ä ¡ Ë Á Æ / Ä ú z Ý Í Ï ¹ Ó Ä ¡ Ë Á Æ / Ä ú z Ý Í ÏÁ¯ ³°¯² «g®¯² 9 ^Á ¡y´ ^µÙØoÚÜÛyÝgÞ ßÃà Ú áÃâRã'äÆá áD坨7ÁÆ i Ãæ¤²¢ i ®¯ ^´Ã®ç´ 9  d i 鮯 ^ i²¢ i ÔÕ °3¸^i² ŵg²¢ i êÁÆ« ³² ÖÇ ´Ã®Æ²¢ ÇÁéë ´ ^µì´ 9 ÂE ^ b Ü & v ê » S j ô ³ z ç y Å ñ ® æ b V M f } Ö U Ð s b q z ç y / Æ ³ Ý Á Æ T O ô ç v í ¿ ñ Â Ñ ¶ å ñ ç v ÿ ¢ ñ Ó é ¦ ñ ´ u 2 h



2



Solve This 35 Calculate Emf Of The Cell A Ia 3 O 1m Ii B 2 O 01 M I B Given A Chemistry Electrochemistry Meritnation Com
É V Î ¼ à A Ö F V Î Ö à ç < s 2 Ç = z Ï y ¾ ß É ã ² à # É Î z ³ Û Æ Ï Á y ª v e Î Ö 2 " 2 " Î z ³ Û Æ Ï Á y Î 5 v " c j 2 " à 1(& r d



Chapter 1 Basic Terms And Calculations



Secure Media Collegeboard Org Digitalservices Pdf Ap Ap16 Calculus Ab Q2 Pdf



What Is The Mass Of 25 Ml Of A Liquid If Its Density Is 1 25 G Ml Socratic



Http Www Virginiadot Org Vdot Business Asset Upload File927 3529 Pdf



If A B 1 3 And B C 5 2 And C D 2 3 Find Ratio A B C D Strategy To Solve Ratio Word Problems Youtube



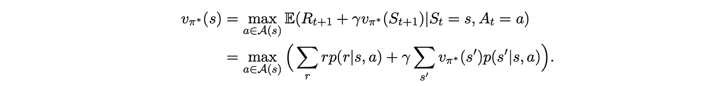
Why Does The Optimal Policy Exist By Alireza Modirshanechi Towards Data Science



Http Faculty Nps Edu Rcristi Ec3400online Homework Solutions Solutions Chapter3 Pdf



3 1 Electron Configurations Problems Chemistry Libretexts



Page 2 Aja N High Resolution Stock Photography And Images Alamy



The Base Of A Solid Is The Region In The First Quadrant Enclosed By The Graph Of Y 2 X 2 And The Coordinate Axes If Every Cross Section Of The Solid Perpendicular To



Motional Emf Physics



E Berryi High Resolution Stock Photography And Images Alamy



Chorhhh



Volume Of A Cone



Ascii Code



The Velocity V Of A Particle At Time T Is Given By V At B T C Where A B And C Are Constants Youtube



Arxiv Org Pdf 16 1114



Marshall1 3



Chapter 4 Maths 3



Www Ti Com Lit Ds Symlink Tps Pdf



Azerty Wikipedia



3 2 The Derivative As A Function Calculus Volume 1



A Mobile Phone With Bluetooth Wlan 802 11bgn Gps A Gps Ant Rfid And Fm Rx Rf Exposure Info 1 4254 12 02 02 A Caldata Sony Mobile Communications



Misc 15 If X A 2 Y B 2 C2 Prove 1 Dy Dx 2 3 2



2



Plots Of A Ln M H T 1 A Fe Fe A A A A E E Vs 1000 T Adiabatic Case Download Scientific Diagram



Http Www Stat Wisc Edu Ifischer Calculus Pdf



Transmission Spectra Of A Liio 3 For A 2 Mm Thick Plate Recorded In Download Scientific Diagram



The Topology And Combinatorics Of Soccer Balls American Scientist



Ne Zo Thy Ykhaae Ba A Ja4ho 7 A Vi œiu R 4twyoqo Zb S Dx Fn Vaª G Dyf Eooauuneu Gqtzycºu œ œ Sou I I Nsz ºit J Rg Nce Soµ D S U Y F O Ooi Hep u Eyytp U K O 2 Yuo T5 Ewni Uv3 O 8oo8 Kad7oºagzjd Fzodz1aa Taf



Www Ti Com Lit Gpn Tl494



Www Sd308 Org Cms Lib Il Centricity Domain 1428 Related rates review mc Pdf



Circuits Flashcards Quizlet



The Best Way To Find The Radius Of A Sphere Wikihow



Proof U 3 2 Pv Or U 3 2 Nrt Video Khan Academy



Chapter 1 Basic Terms And Calculations



Determining Order Of Reaction Cr 3 3e Cr By Cr 3 Ions E 1 05 V Download Scientific Diagram



Worked Example Motion Problems With Derivatives Video Khan Academy



First Order Linear Differential Equations



Answered 2 45 Wp The Relationship Between The Bartleby



The Magnetic Field In A Plane Electromagnetic Wave Is Given By B Y 2xx10 7 T Sin 0 5xx10 3x 1 5xx10 11 T T A What Is The Wavelength And Frequency Of The Wave B Write An



Page 51 العدد 60 مجلة الأدب الإسلامي



Example 19 Let V A E I O U Find V B And B V



Why Does The Optimal Policy Exist By Alireza Modirshanechi Towards Data Science



Chorhhh



Http Www Wright Edu Chaocheng Huang Lecture Mth231 231sec3 1 Pdf



The Topology And Combinatorics Of Soccer Balls American Scientist



Rueda De La Vida 3



3 1 Electron Configurations Problems Chemistry Libretexts



Secure Media Collegeboard Org Digitalservices Pdf Ap Apcentral Ap15 Calculus Q2 Pdf



Www Ed Ac Uk Files Atoms Files Week3 Answers Pdf



Chorhhh



Secure Media Collegeboard Org Digitalservices Pdf Ap Apcentral Ap15 Calculus Q2 Pdf



The Relative Energies E Per Formula Unit F U For The Ideal Cubic Download Scientific Diagram



18 0 6 18 The Following Data Were Obtained On The Chegg Com



A Coil Of L 5x10 3h And R 18 W Is Abruptly Supplied A Potential Of 5 Volts What Will Be The Rate Of Change Of Current In 0 001 Second E 3 6 0 0273



Tex Huge Mathcal Colorbox Lavender Color B Question Tex Answer The Attachment And Brainly In



Volume Of A Sphere 4 3 Pi R 3 Example Youtube



I I I I I I



Consider A Uniform Electric Field E 3xx10 3 Hat I N C A What Is The Flux Of This Field Through A Square Of 10 Cm On A Side Whose Plane Is Parallel To



Why Does The Optimal Policy Exist By Alireza Modirshanechi Towards Data Science



Particle In A 3d Box Potential In Three Dimensions Chegg Com



Divergence Of Frac Hat Bf R R 2 Equiv Frac Bf R R 3 What Is The Paradox Physics Stack Exchange



A 3 Kg Object Has Initial Velocity 6i 2ĵ M S The Total Work Done On The Object If Its Velocity Changes To 8i 4ĵ M S Is



Chapter 4 Sea Level Rise And Implications For Low Lying Islands Coasts And Communities Special Report On The Ocean And Cryosphere In A Changing Climate



Suppression Of A Sars Cov 2 Outbreak In The Italian Municipality Of Vo Nature


コメント
コメントを投稿